












Trong thời gian qua, trước diễn biến phức tạp của dịch bệnh, UBND xã đã khẩn trương phối hợp với cơ quan chuyên môn tổ chức kiểm tra, xác minh, lập biên bản, thống kê đầy đủ số lượng, trọng lượng lợn buộc phải tiêu hủy theo đúng quy trình kỹ thuật; đồng thời hoàn thiện hồ sơ đề nghị cấp trên thẩm định, phê duyệt kinh phí hỗ trợ theo quy định hiện hành.
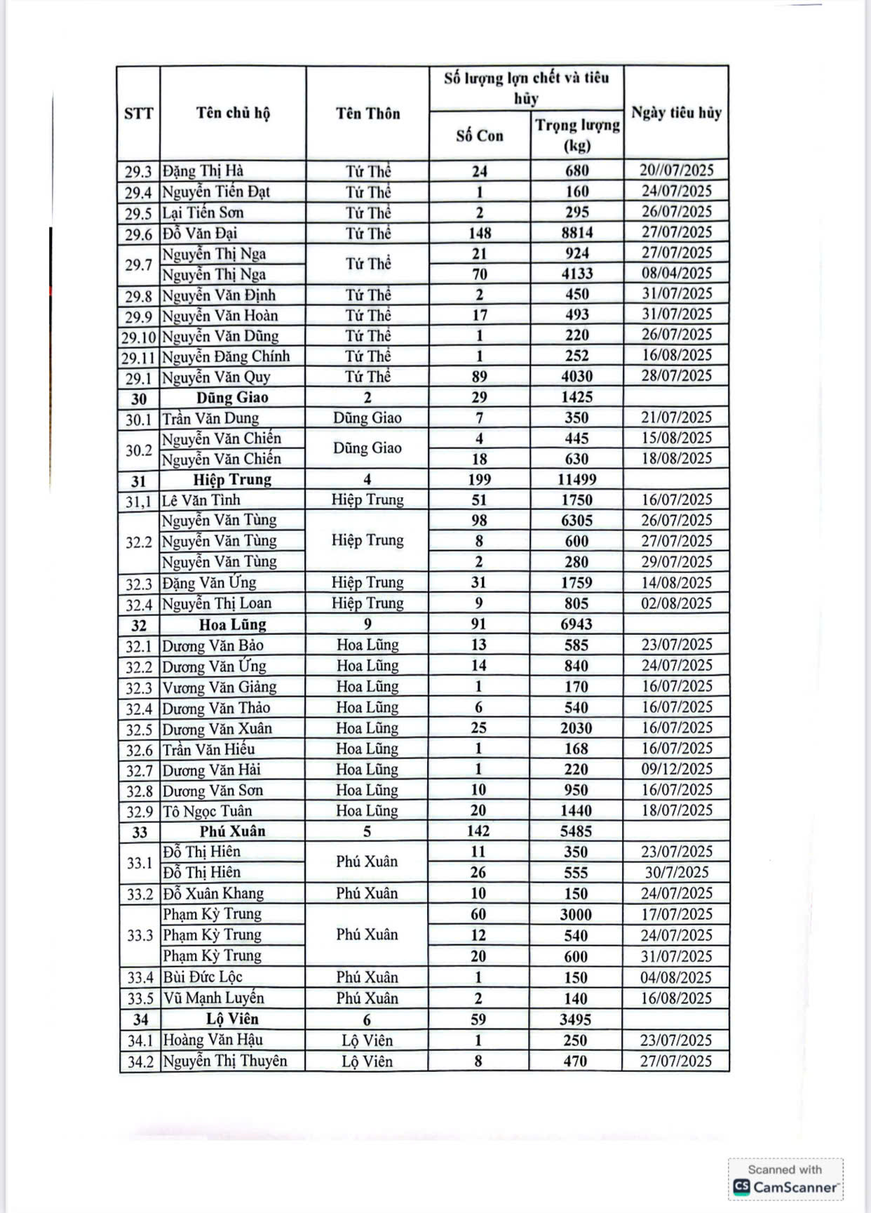
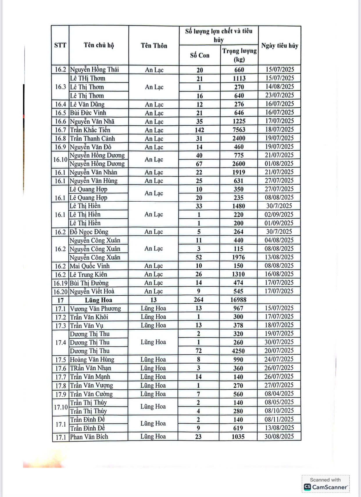
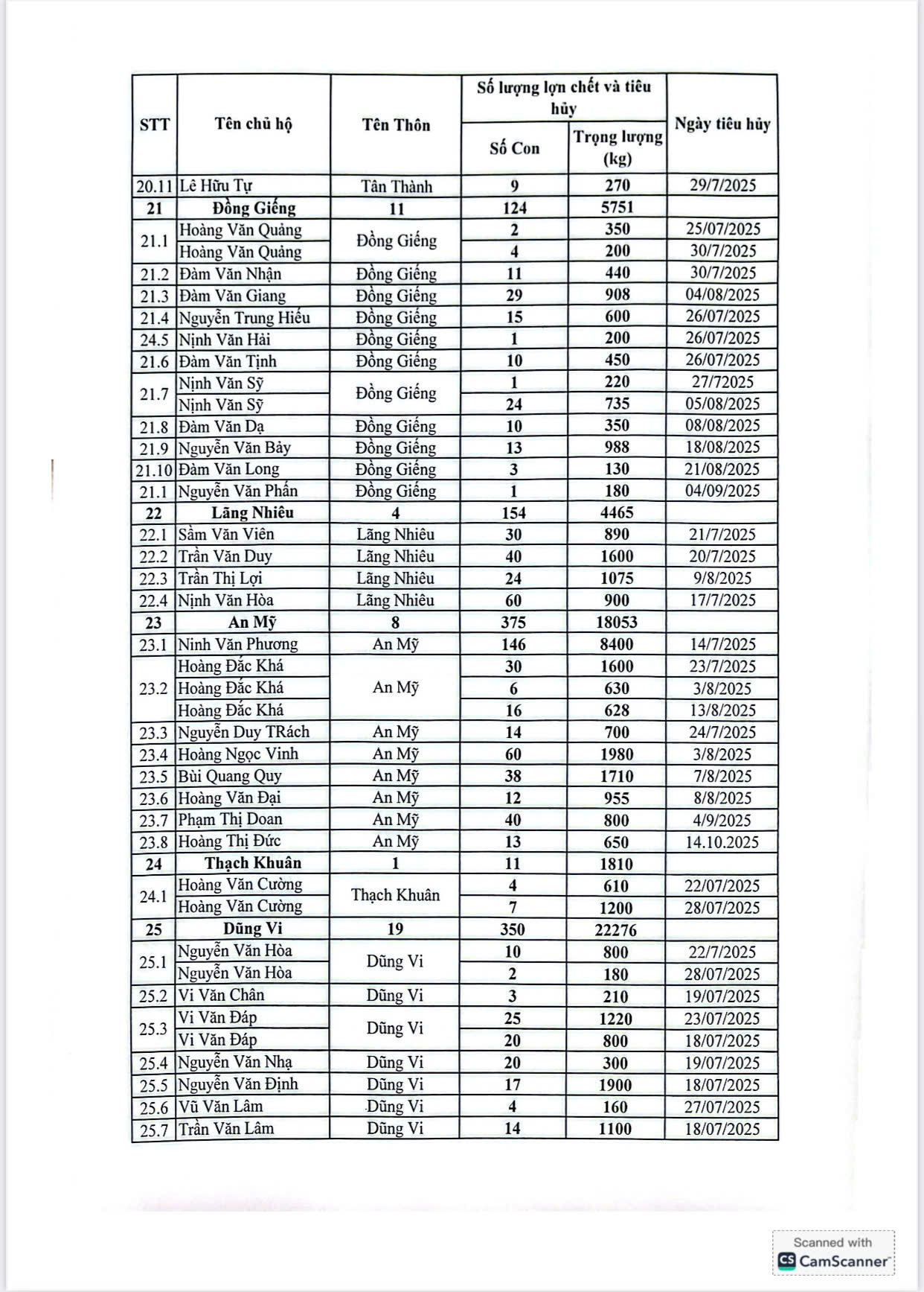
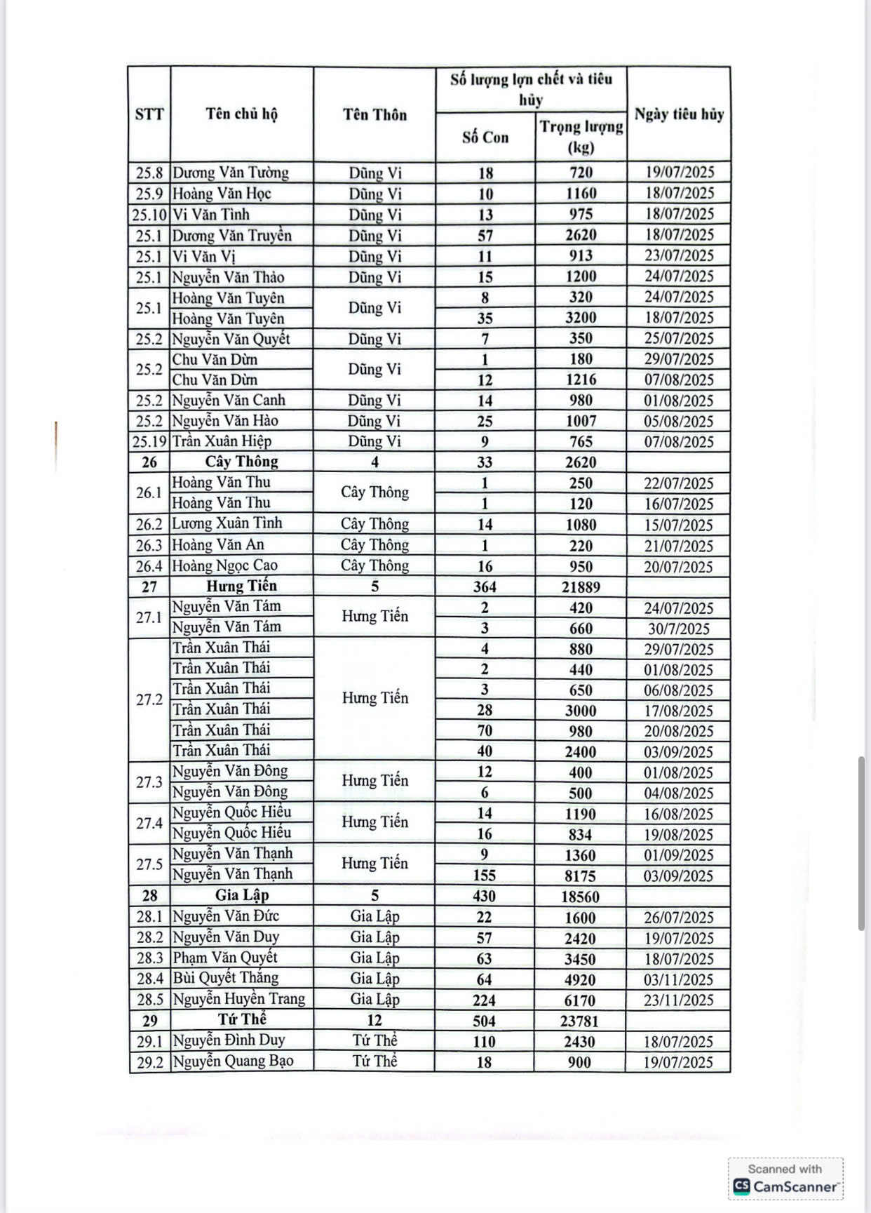
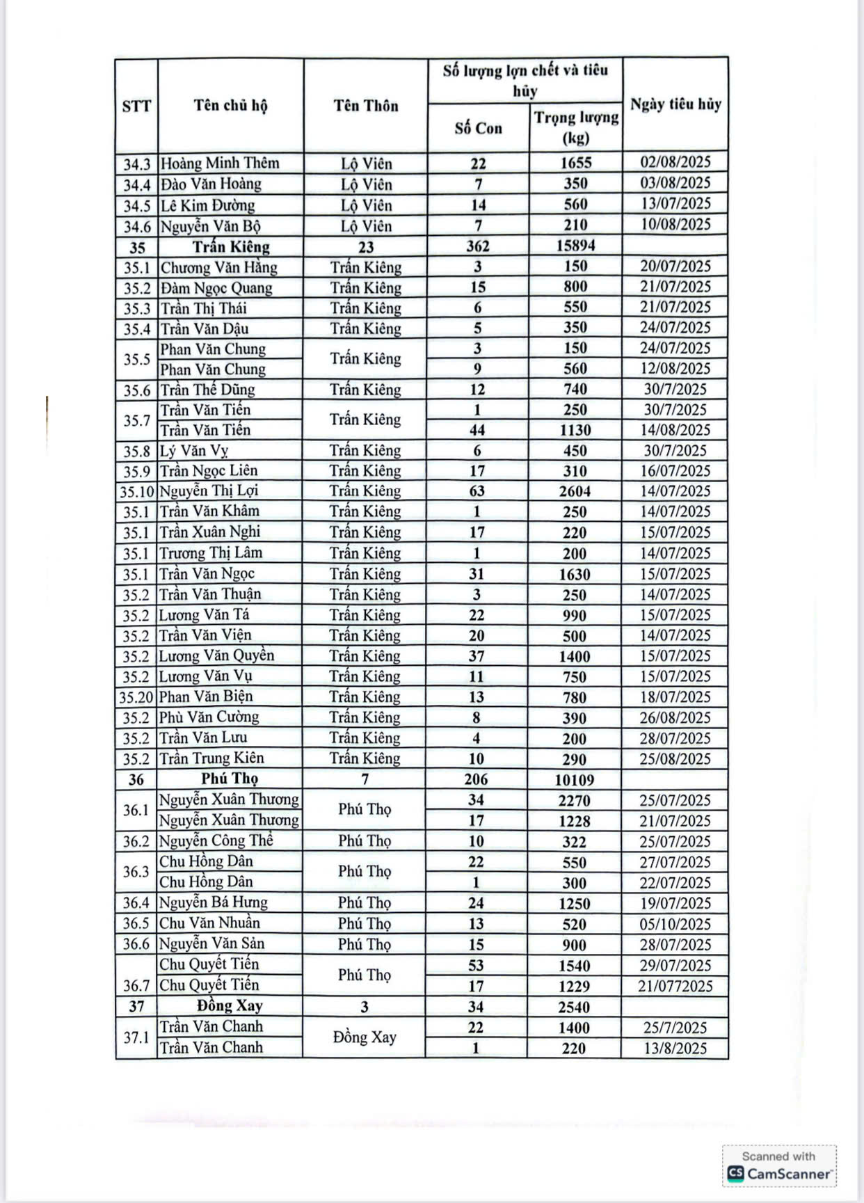
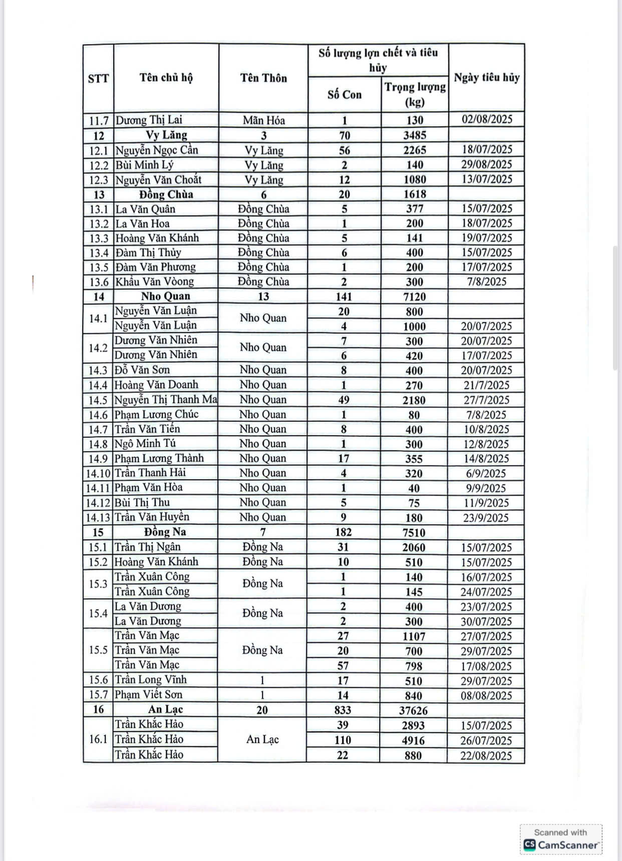
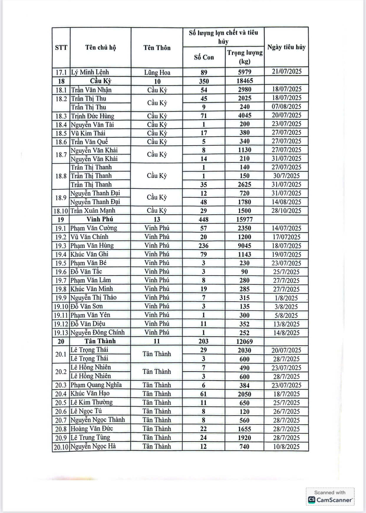
Căn cứ kết quả thẩm định, UBND xã tiến hành niêm yết công khai danh sách các hộ được hỗ trợ đợt 1, bao gồm:
Việc niêm yết được thực hiện công khai tại trụ sở UBND xã và nhà văn hóa các thôn để nhân dân theo dõi, giám sát, bảo đảm nguyên tắc công khai, minh bạch, đúng đối tượng, đúng chế độ, không để xảy ra sai sót.
Thời gian niêm yết: 5 ngày, kể từ ngày 27/02/2026 đến hết ngày 05/3/2026 UBND xã sẽ niêm yết công khai tại Nhà văn hóa của 50 thôn có các hộ gia đình bị thiệt hại do lợn mắc bệnh Dịch tả lợn Châu phi bị tiêu hủy.
Trong thời gian niêm yết, nếu có ý kiến thắc mắc, kiến nghị liên quan đến thông tin trong danh sách, đề nghị các hộ gia đình và nhân dân phản ánh trực tiếp về UBND xã (qua ông Nguyễn Tùng Dương - Chuyên viên Phòng Kinh tế, số ĐT: 0326.630.606) để được xem xét, giải quyết kịp thời theo quy định.